問題與目標
在韓國都會地區(包括首都首爾),夏季氣候炎熱潮濕,時常受颱風侵襲。該地區年度夏季累積降雨量約為892.1毫米,佔年度降雨量約61%。2011年至2017年間,該地區發生了326起地滑事件。未來氣候變遷可能導致更頻繁的極端降雨事件,而韓國都市地區的居民登記人口為2,630萬,佔韓國總人口的50.21%,更大的崩塌風險將影響都會地區龐大的人口。

圖1 氣候變遷風險評估操作區 (來源:參考文獻)
採取的改善作為
韓國氣象廳使用機器學習算法來預測崩塌潛勢,使用的演算法包含Naïve Bayes classifier(NB)、k-Nearest Neighbor(kNN)、Decision Tree(DT)、Random Forest(RF)和Support Vector Machine(SVM),結合 5 種區域氣候模式(GRIMs, HadGEM3-RA, RegCM4, SNURCM, and WRF)以及不同碳排放情境(2.6, 4.5, 6.0, 8.5),並比較不同模型預測效果(圖2),結果顯示,隨機森林(RF)模型具有較好的效果,最終運用隨機森林繪製崩塌潛勢圖(圖3)。

圖2 不同模型效果比較 (來源:參考文獻)

圖3 氣候變遷情境崩塌潛勢圖 (來源:參考文獻)
成效
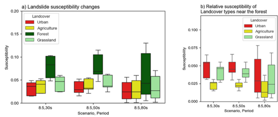
機器學習模擬氣候變遷風險帶來的效果包括提供更準確的崩塌風險預測,幫助當局更有效地進行災害管理和風險控制。研究指出,在未來的2030年代、2050年代和2080年代,許多都會地區周圍森林有較高的崩塌潛勢,需針對此風險進行都市規劃降低崩塌帶來的經濟損失。

圖4 氣候變遷下各土地覆蓋崩塌潛勢比較 (來源:參考文獻)
參考文獻
Park, S. J., & Lee, D. K. (2021). Predicting susceptibility to landslides under climate change impacts in metropolitan areas of South Korea using machine learning. Geomatics, Natural Hazards and Risk, 12(1), 2462-2476.
參考網址